OCTAVIO HARRY MATEMÁTICAS Y FÍSICA JORGE MARIO
miércoles, 27 de mayo de 2020
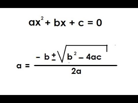
CLASE GRADO 11 MATEMÁTICAS INTRODUCCIÓN A ECUACIONES CUADRÁTICAS.
Entrada más reciente
Entrada antigua
Inicio
GUÍA 2, ONCE, FÍSICA, DINÁMICA.
https://drive.google.com/file/d/1FJYXYX_dfWZhFPhY211iTrtYjbvnqpr4/view?usp=sharing